实验室何建行教授及梁文华博士再次登录肿瘤学顶尖期刊J Clin Oncol,在线发表早期肺癌手术淋巴结采样/清扫量化标准的研究结果
2016-12-3023662016年12月28日,肿瘤学顶尖期刊Journal of Clinical Oncology(临床肿瘤学杂志,影响因子20.98分)发表了一项关于早期肺癌手术淋巴结采样/清扫量化标准,这个研究由广州医科大学附属第一医院胸外科及胸部肿瘤科团队历时近两年完成,论文的第一作者为梁文华博士,通讯作者为何建行教授。作为国内及国际肺癌微创治疗的先行者及引领者,何建行教授团队近年来一直致力于早期肺癌的预后以及规范化治疗的研究,以期在外科技术日臻完美的趋势下取得更大的突破,进一步改善肺癌患者的治疗效果。

【研究内容简介】
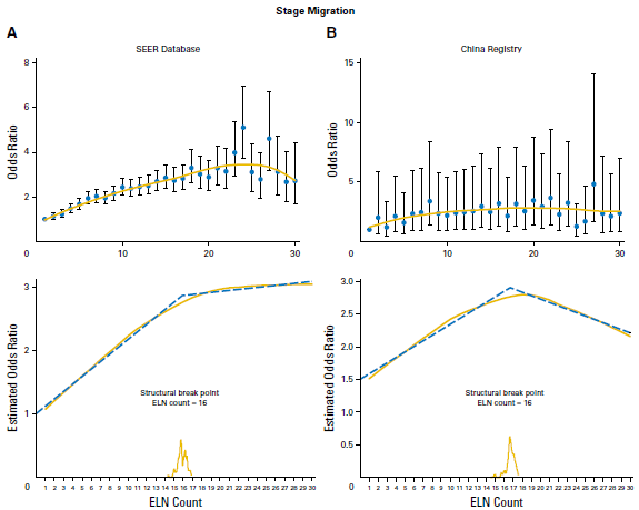
肺癌淋巴结转移状态是决定患者预后的关键因素,因此淋巴结采样/清扫对准确分期以及后续治疗的给予均有非常重要的意义,然而,既往一些零散的报道受限于数据偏倚及分析方法等原因,结果差异较大,因此在肺癌的治疗规范里一直没有形成针对评判采样/清扫是否充分的量化标准的共识。何建行教授的团队在国际胸外科专家组的共同指导下,运用更为可靠的统计学方法,仔细分析了美国SEER肺癌数据以及国内多家胸外科中心组成的肺癌数据库,发现更多的淋巴结采样数目与更多的分期迁移(代表更准确的分期)以及更好的远期生存相关。进一步的分析发现,尽管美国与中国在淋巴结采样数目的分布上差异很大,但分期迁移及生存转归的趋势结构转折截点,均定位在16个附近。因此,对于术后被判为淋巴结阴性的早期肺癌,推荐以16个采样淋巴结个数为重要节点,采样低于16个的患者很有可能包含一部分实际为淋巴结阳性转移的病人,这部分患者可能会由于癌细胞残留或没有接受适当的后续治疗而造成生存下降。
【研究意义】
此研究的分析对象样本量大,覆盖广,很好地代表了真实世界的情况,并运用多种统计学方法,从多个角度论证了研究结果的可靠性,在现有的数据资料下,为这个问题提出了总结性的结论,因此获得了对研究质量极其严格的J Clin Oncol的认可,并为此研究邀请了专门的述评。这个研究为淋巴结采样/清扫的质量提供了量化的标准,提示对于术后被判为淋巴结阴性的早期肺癌患者,若被检查的淋巴结个数低于16,应该慎重审视采样的充分程度以及认真探讨后续治疗策略,这有助于从整体上进一步改善淋巴结检查的情况及提高患者的生存。此外,这个节点也可以作为评判外科医生及病理科医生对淋巴结检查的平均水准。在后续的研究计划中,课题组将会针对破碎淋巴结的计数、病理科对N1淋巴结的检查规范、N1和N2的区分、不同条件下的评判标准等逐一进行完善。



【沿袭】
这是何建行教授团队在2016年继7月份发表新分期下早期肺癌手术切除范围的研究(沈建飞等,J Clin Oncol 2016 Sep 10;34(26):3175-82.)后的第二篇J Clin Oncol论文,也是何建行教授及梁文华博士继2015年发表预测肺癌生存列线图后又一次踏入这个国际学术殿堂(J Clin Oncol 2015 Mar 10;33(8):861-9.)。何建行教授团队是目前国内甚至国际上胸部肿瘤领域为数极少的在J Clin Oncol发表3篇以上原创性分析研究的课题组,为早期肺癌的规范化治疗作出了重大贡献。
















