EB病毒感染:推动支气管扩张病情进展的“暗物质”
2020-08-273442近日,在钟南山院士和关伟杰副研究员的牵头下,支气管扩张(支扩)团队的原创研究论著“The role of Epstein-Barr virus in adults with bronchiectasis: A prospective cohort study”在美国感染病学会(IDSA)的官方杂志Open Forum Infectious Diseases(IF:3.656)在线发表,并成为编辑推荐(Editor’s choice)的论文。

支扩是以咳嗽、咳痰、咯血为主要临床表现的慢性气道疾病。延缓支扩的进展是疾病管理的首要目的之一,因此寻找加速支扩进展的原因尤为重要。
支扩的特点之一是气道微环境改变,这是微生物(主要包括细菌、病毒、真菌)分离、定植的重要条件。已有研究明确了急性呼吸道病毒感染对于触发支扩急性加重的作用,然而慢性病毒感染与支扩的关联则不甚明确。前期研究已表明,间质性肺疾病与慢阻肺患者的下气道中能够经常分离出EB病毒,EB病毒感染与间质性肺病进展存在一定关联。在预实验中,支扩课题组发现,部分支扩患者的气道内确实存在较高载量的EB病毒。
基于上述发现,在一项前瞻性队列研究中,课题组动态随访了108名支扩患者,采集患者不同时期的多份痰液标本进行EB病毒检测,并探讨EB病毒检测状态与支扩的疾病严重程度、急性加重、气道炎症反应、肺功能等指标的相关性。
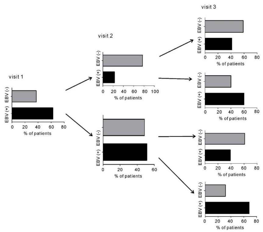
本研究发现,48.1%的支扩患者痰液可检测出EB病毒,该检测率显著高于正常对照者(20.0%)。有趣的是,首次检出EB病毒的支扩患者其在后续的多次临床随访过程中更有可能持续分离出EB病毒(持续检出);相反,首次未能检出EB病毒的支扩患者其在后续的多次临床随访过程中很可能不会分离出EB病毒。尽管支扩患者的EB病毒检出率更高,其载量与正常对照者无显著差异。EB病毒检出状态、载量均与铜绿假单胞菌定植状态无关。
由于采集痰液过程中可能会受口腔中唾液的影响,而既往有研究表明,正常人唾液中的EB病毒检出率、载量均显著高于下呼吸道。为了排除唾液污染对本研究结果的干扰,课题组还采集了部分支扩患者的配对唾液、痰液。在采集痰液过程中,课题组成员还严格对痰液分离进行严格的质控把关。结果发现部分支扩患者中痰液的EB病毒载量反而高于配对的唾液,个别痰液检出EB病毒的支扩患者其唾液中几乎不能检出EB病毒。上述发现提示,支扩患者下呼吸道EB病毒不太可能来源于唾液的污染。

图1. EB病毒检出率以及载量的分布特征

图2. 在随访过程中支扩患者EB病毒检出率的动态变化
EB病毒检出与否、载量均与不同的支扩严重程度(使用BSI、FACED评分进行评价分为轻、中、重度)均无明显的相关。既往研究表明,急性呼吸道病毒感染的支扩患者气道与系统性炎症反应均显著增强,然而本研究发现,EB病毒的载量与气道内的炎症因子(包括白介素-1β、白细胞趋化因子-8、肿瘤坏死因子-α)表达水平显著负相关。

图3. EB病毒与支扩严重程度的关系
尽管EB病毒感染与否、载量如何均与支扩的急性加重事件无显著相关性。稳定期与急性加重期的EB病毒载量没有显著的差异。按照急性加重期患者是否出现上呼吸道感染症状进行分类,课题组并未发现上述研究发现均仍然成立。
课题组进一步对比了支扩患者在急性加重发生整个过程的病毒载量动态变化,发现急性加重的早期EB病毒出现一过性下降,其后很快恢复至接近基线水平。
在平均为1年的随访过程中,EB病毒检出的患者罹患下一次急性加重的时间显著短于病毒阴性者,而且EB病毒检出者的肺功能下降速率显著快于病毒未检出者。上述研究发现提示,EB病毒并非完全是恶性循环的“旁观者”,而可能推动了支扩的进展。

图4.急性加重-恢复过程中EB病毒的率与载量的变化情况

图5. EB病毒与下一次急性加重时间以及肺功能下降的关系
多因素回归分析提示,每天痰量较多、支扩受累肺叶数更多、使用过长效胆碱能受体拮抗剂治疗均为支扩患者检出EB病毒的危险因素。然而,长期服用低剂量大环内酯类治疗的支扩患者其更不容易检出EB病毒。课题组还发现,患者的年龄、性别、体重指数、是否检出其它呼吸道病毒、细菌分离与定植均与EB病毒是否检出无显著的相关性。
本研究采集标本的对象均主要为我国南方的支扩患者,由于绝大多数患者生活在鼻咽癌高发(多数与EB病毒感染有关)的地区,EB病毒也容易在人群中传播,课题组对部分检出EB病毒的支扩患者痰液进行测序,并与既往文献报道我国南方人群检出病毒株序列进行比对。结果发现本研究对象中多数EB病毒的同源性较高,而且与既往研究报道的病毒同源性也较高,提示这些EB病毒可能是本地区流行的病毒株。本研究首次发现EB病毒可能是影响支扩疾病进展的病原体,为预防支扩疾病进展提供了新的研究思路。但目前还有许多问题有待研究,比如EB病毒如何影响支扩进展;除EB病毒外,是否还有其他病毒对支扩的进展产生影响。
本研究仅打开了慢性病毒感染与支扩关联“潘多拉盒子”的第一幕。今后尚待更多的研究揭示病毒与支扩发病、进展的关联。与此同时,我们对更好地认识疾病的机制又迈出了一步。
















