“长白班”制度对新冠肺炎危重症患者病死率的影响
2020-08-1721132020年8月17日,广州呼吸健康研究院钟南山院士团队在SLEEP MEDICINE杂志在线发表了研究论文“Improved night shift schedule related to the mortality of critically ill patients with Corona Virus Disease 2019”。广州呼吸健康研究院张挪富教授为论文通讯作者,广州医科大学2019级博士研究生张笋为论文第一作者。

新冠肺炎疫情爆发初期,医务人员数量严重不足是武汉各级医疗机构面临的最棘手的问题之一。超高强度的工作负荷导致部分医生和护士出现了严重的心理及睡眠障碍,而频繁的倒夜班也使得新冠肺炎重症和危重症患者治疗的连续性受到影响。2020年2月2日,广州医科大学附属第一医院援鄂医疗队(下称“医疗队”)在领队张挪富教授的带领下奔赴武汉协和医院西院ICU病区开展支援工作。初到武汉时,全部医护人员按照“三班倒”制度以四天为一个周期开展工作,即第一天早8点工作至下午4点、第二天下午4点工作至晚12点、第三天晚12点工作至第四天早8点,随后休息一天。很快,医疗队也同样面临了人手不足、患者治疗连续性不佳的问题。
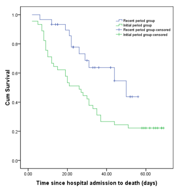
在张挪富教授的指导下,医疗队于2月10日起随即对夜班制度进行了改革:挑选出操作能力强、抢救经验丰富的重症医学科医生,将其工作时间由原先的“三班倒”改为“长白班”,即每天上午9点工作至下午6点,无需上夜班;而其余医生的工作时间则改为“四班倒”,即第一天早8点工作至下午2点、第二天下午2点工作至晚8点、第三天晚8点工作至晚12点,第四天晚12点工作至第五天早八点,随后休息两天。本研究比较了夜班制度改革前后新冠肺炎危重症患者的生存情况并分析了这一改革措施对患者死亡的影响。结果显示,施行“长白班”制度后,患者的病死率由之前的77.8%下降至36.7%(表1),生存率显著提升(图1)。进一步运用多变量COX回归模型分析后发现,“长白班”制度实施前入院患者的死亡风险是实施后入院患者的2.85倍(95%置信区间为1.29-6.29)(表2)。
本研究结果提示,医务人员的轮班制度与新冠肺炎危重症患者的病死率密切相关。科学、合理的排班不仅能保障治疗的连续性,也能改善医务人员的心理及睡眠状况,从而提高医疗救治工作的整体质量,降低患者的死亡风险。值得一提的是,由于“长白班”制度实施后效果明显,这一改革措施在3月中下旬后被国家卫健委专家指导组在援鄂医疗队中广泛推广。

表1 新冠肺炎危重症患者的治疗和结局
注:Initial period指“长白班”制度实施前入院;Recent period指“长白班”制度实施后入院

图1 新冠肺炎危重症患者的生存分析

表2 新冠肺炎患者院内死亡的危险因素分析
原文链接:https://www.sciencedirect.com/science/article/pii/S138994572030366X?via%3Dihub
















