补肺活血胶囊用于新冠康复期患者治疗的有效性及安全性的随机双盲对照研究发表
2021-11-165047
目前新冠疫情仍在全球肆虐,随着全球新冠肺炎总患病人数不断攀升,新冠患者康复问题日益突出。多项临床随访研究均发现,显示绝大多数新冠肺炎出院患者发病1年后仍至少存在疲劳、睡眠障碍等异常症状。2021年8月《柳叶刀》发表社论称,呼吁重视新冠患者康复期问题,提出“长期新冠”(Long COVID)的概念。社论表示,随着新冠肺炎大流行的继续,持续性疲劳、呼吸困难和抑郁等症状可能影响到数百万人,但忽视新冠患者康复问题,由于没有经过验证的治疗方法与康复指导,“长期新冠”会影响人们恢复正常生活和工作的能力,同时增加医疗保健负担,加剧经济损失。早在2020年1月17日《新型冠状病毒肺炎诊疗方案(试行第四版)》我国医学界已正式提出对新冠康复期患者进行中医药治疗。但目前新冠康复期的中医药干预治疗多基于临床经验,缺乏高质量的循证医学研究支持。钟南山院士、王健教授团队在新冠疫情爆发伊始即关注到新冠患者康复问题,组织全国五家分中心开展补肺活血胶囊治疗新冠肺炎康复期患者的双盲、随机、对照研究。
该项研究由国家呼吸医学中心、广州医科大学附属第一医院作为牵头单位,由武汉市肺科医院、襄阳市襄州区人民医院、包头市第三医院、襄阳市中心医院及南京医科大学公共卫生学院共同完成。是目前首个报道已完成的针对新冠康复期患者的双盲、随机、对照、多中心临床研究。研究发现给予新冠康复期患者口服补肺活血胶囊治疗90天可促进康复期肺部病灶的吸收,防止肺部感染灶的恶化,同时可以增加康复期患者的运动耐量,缓解疲劳乏力等症状,促进新冠肺炎的康复,安全性良好。为补肺活血胶囊用于新冠康复期治疗提供Ⅰb级循证医学证据。这项研究工作的完成将提高大家对新冠患者康复问题的关注,为中医药用于新冠康复期治疗提供高水平循证医学证据。
该研究新近发表于全科医学与补充医学一区杂志<Journal of Ethnopharmacology>, 该研究通讯作者为国家呼吸医学中心,广州医科大学附属第一医院钟南山院士和王健教授。第一作者为国家呼吸医学中心,广州医科大学附属第一医院陈豫钦副研究员、刘春丽教授,武汉市肺科医院王婷萍主任医师、襄阳市襄州区人民医院齐晶晶副主任医师、包头市第三医院贾小青主任医师、襄阳市中心医院曾宪升主任医师、南京医科大学公共卫生学院柏建岭副教授及呼吸疾病国家重点实验室卢文菊教授。
研究设计与流程:
该研究共纳入131例受试者,按照研究方案,入选患者随机分为治疗组和安慰剂组,治疗组患者予口服补肺活血胶囊4粒/次,每天3次,治疗周期90天。主要疗效指标包括肺部CT改善率和六分钟步行距离,次要疗效指标包括圣乔治呼吸问卷评分,中医症候评分,疲劳评分和Borg呼吸困难指数评分。



表一 主、次要疗效指标治疗前后的改变情况
治疗组在经过补肺活血胶囊治疗90天后,肺部CT的改善率较安慰剂组明显升高,其肺部病灶体积(磨玻璃影或实变影)显著减小。

表二 受试者CT影像学严重程度分级改善情况,补肺活血胶囊组患者未发现肺部CT影像学的恶化,而安慰剂组中有11.76%的患者出现肺部CT影像学严重程度的加重。
2、补肺活血胶囊可改善新冠康复期患者运动耐量

图3:两组六分钟步行距离改变量的差异,治疗三个月后补肺活血胶囊组六分钟步行改变量明显优于安慰剂组。A为全分析数据集(FAS) ,B为符合方案数据集(PPS)
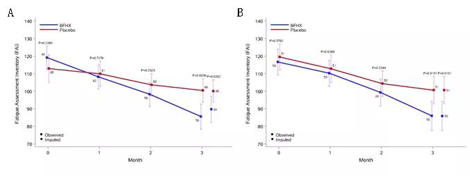
3、补肺活血胶囊可减轻新冠康复期患者疲劳程度

图4:两组疲劳评分的差异,治疗三个月后补肺活血胶囊组疲劳评分明显优于安慰剂组。
A为全分析数据集(FAS) ,B为符合方案数据集(PPS)
另外,研究中出现的不良事件以轻度为主,治疗组与安慰剂组之间没有统计学差别,且未出现与研究药物相关的严重不良事件。
参考文献:
1.Lixue Huang, Qun Yao, Xiaoying Gu, Qiongya Wang, Lili Ren, Yeming Wang, Ping Hu, Li Guo, Min Liu, Jiuyang Xu, Xueyang Zhang, Yali Qu, Yanqing Fan, Xia Li, Caihong Li, Ting Yu, Jiaan Xia, Ming Wei, Li Chen, Yanping Li, Fan Xiao, Dan Liu, Jianwei Wang, Xianguang Wang, Bin Cao. 1-year outcomes in hospital survivors with COVID-19: a longitudinal cohort study. Lancet 2021; 398: 747–58
2.Yuqin Chen, Wenjun He, Wenju Lu, Yue Xing, Jianling Bai, Hao Yu, Jiawei Zhou,Jingyi Liang, Jiyuan Chen, Chi Hou, Bihua Zhong, TingWang, Huazhuo Feng, Xu Chen,Tao Wang, Kai Yang, Nuofu Zhang, Nanshan Zhong, Chunli Liu, Jian Wang. Bufei huoxue capsules in the management of convalescent COVID-19 infection: study protocol for a multicenter,double-blind, and randomized controlled trial. Pulm Circ. 2021 Aug 3;11(3):20458940211032125.
3.Yuqin Chen, Chunli Liu, Tingping Wang, Jingjing Qi, Xiaoqing Jia, Xiansheng Zeng, Jianling Bai, Wenju Lu, Yu Deng, Bihua Zhong, Wenjun He, Yue Xing, Zhan Lian, Haohao Zhou, Junping Yan, Xuejiao Yang, Hao Yu, Jiawei Zhou, Dansha Zhou, Lixia Qiu, Nanshan Zhong, Jian Wang. Efficacy and safety of Bufei Huoxue capsules in the management of convalescent patients with COVID-19 infection: A multicentre, double-blind, and randomised controlled trial. J Ethnopharmacol. 2021 Nov 8;114830.
















