实验室孙宝清教授团队发表国产新冠灭活疫苗加强针的抗体滴度变化趋势
2022-03-112138近日,国家呼吸医学中心、呼吸疾病国家重点实验室、广州医科大学附属第一医院、广州呼吸健康研究院孙宝清教授团队在国际学术期刊Allergy (IF = 13.1) 发表国产新冠灭活疫苗后抗体免疫监测的最新研究成果。在标题为<Humoral immune response of BBIBP COVID-19 vaccination before and after the booster immunization> 的文章中,研究者揭示了接种加强针疫苗后的抗体滴度变化趋势,对国药疫苗的安全性及有效性提供了积极的参考数据,为研发安全高效的新冠疫苗提供了可靠的基础依据。实验室程章恺博士、黄惠敏、郑佩燕、薛明汕为本研究的共同第一作者,孙宝清教授为通讯作者。

背景
新冠疫情在全球以爆发性趋势蔓延,高效安全的疫苗接种成为降低感染率和致死率的有效预防手段。由于疫苗的保护效力随着时间的推移或会逐渐降低,针对现阶段不同病毒变异株的出现以及群众对加强免疫效力的迫切需求,加强针(第三针)疫苗的推行成为本阶段防疫措施中一个重要任务和趋势。由于加强针接种的推行目前尚处于一个初始阶段,其所诱导增强的抗体免疫效应及水平变化的相关研究尚未明朗。我们团队于本研究中报告了北京生物(BBIBP)疫苗诱导免疫的动力学、持久性和中和能力,以及加强针次所引发的增强抗体反应,以解决疫苗诱导的特异性抗体水平及抗体的中和能力在接种 BBIBP 疫苗期间如何变化的关键问题。为新冠疫苗的研制和开发提供可靠性的基础依据。
本研究以多单位(广州医科大学附属第一医院、遵义医科大学第五附属(珠海)医院、东莞市第八人民医院)合作的模式开展,共纳入353名(106 名男性,247 名女性)完成全程研究的健康成年参与者,其年龄区间为20-74岁(中位数:33),以上参与者的纳入准则均严格参照相关入选及排除标准。分别于7个时间点对参与者进行采样并进行相应的抗体水平检测及中和抗体试验。
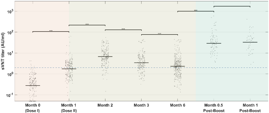
研究表明,在整个疫苗接种过程中,病毒特异性抗体SARS-CoV-2-IgG/IgA/IgM的滴度均于第一针注射后的第二个月达到顶峰,而后缓慢下降。有趣的是,研究结果显示,在接受加强针注射后1个月,以SARS-CoV-2-IgG与中和抗体 (sVNT)的水平变化最为显著(P<0.05),且两者变化趋势高度一致(图1)。而与其他抗体相比,SARS-CoV-2-IgA在7个时间点所监测到的抗体滴度则保持在相对恒定的低水平(图2a-c)。

图1: 抗体水平多时间点监测。IgA(绿),IgM(紫),IgG(红),sVNT(蓝)
a

b

c

图2. 各个时间点的相关抗体滴度监测。(a) IgA. (b) IgM. (c) IgG.
研究发现,在完成两针接种后,相应的中和滴度变化均表现出显著的上升趋势。值得关注的是,sVNT的滴度在接受加强针注射后0.5个月得到显著性升高,这一涨幅比第6个月高出13.2倍,并且为第一个峰值的4.5倍(图3a-c)。
a

b

c

图3. 不同时间点的病毒中和测试结果。
(a) 真病毒中和实验。(b) 假病毒中和实验。(c) 替代病毒中和实验。
本研究进一步对年龄(即:年龄≤ 40岁 和 年龄> 40 岁)和性别进行分组并比较各个监测点的抗体水平变化,结果显示,不同年龄组和性别之间抗体滴度水平变化趋于一致。此外还测得的 SARS-CoV-2-IgG 与 sVNT 滴度水平相关(r = 0.647,P<0.001)。
观点
基于对疫苗效价现阶段的相关研究进行探索,研究者发现,所有证据都指出了疫苗的长期保护会随着时间推移而呈现下降趋势。然而,除了诱导中和抗体之外,疫苗保护力的其他层面是否发挥积极的效用取决于免疫记忆的形成。相关研究表明,由第三剂灭活疫苗引起的SARS-CoV-2的免疫有助于提供更好的免疫保护和增强中和滴度。
本研究通过对整个疫苗接种过程中诱导的体液反应进行监测,如病毒特异性抗体(SARS-CoV-2-IgA/IgM/IgG),并进行病毒中和试验。结果显示,疫苗诱导免疫的持久性和中和效价随时间的下降,此外还监测记录到接种加强针后会产生强烈的记忆抗体反应,由此证明了加强针有着显著的免疫效果。研究发现,SARS-CoV-2-IgG 在体液免疫过程中主要负责中和效价,表明其在保护人体免受病毒入侵方面发挥着关键作用。有趣的是,SARS-CoV-2-IgM 的变化与其他的两种类型的抗体非常不同,其于加强针注射后仅引发与第一次注射相似的滴度,与在没有记忆免疫的情况下观察到的特征一致。本研究工作为灭活疫苗加强针的临床应用奠定了基础。未来还需更多大规模爆发的真实世界研究以全面评估灭活疫苗的免疫效能并确定预防性疾病的中和抗体阈值。
结论
综上所述,研究发现灭活的 SARS-CoV-2 疫苗 BBIBP-CorV 在健康成人中所发挥的免疫效力是具备良好的耐受性和安全性的,而体液免疫反应在接受前两次疫苗注射后得到有效的诱导,并于初次注射后两个月达到峰值,而后随着时间的推移逐渐下降。另外,加强针显著地诱导了记忆性免疫,其中和效价在加强免疫后一个月达到 13.2 倍。由此可推论,现今实行的疫苗策略在提高群众的免疫效力上发挥着积极的作用,此外,加强针的优势为新冠病毒及其变异株的免疫原性进一步巩固带来利好的讯息。
我国已于近期正式部署多种类型新冠疫苗的序贯加强针接种,期待更多相关研究,为全球抗疫行动服务。
















