基于优化的传播动力学模型对2022年底实施优化疫情防控措施后的中国广东省新冠肺炎疫情情况探讨
2023-05-201210在新冠“奥密克戎”毒株占主导地位之时,大多数国家放松管制后出现一个或多个高峰。针对我国采取的动态清零和优化管控措施,实验室团队使用改进的SEIR-CD传播动力学模型来预测广东省和广州市的新冠疫情发展趋势,为抗疫措施的制定提供了科学依据。
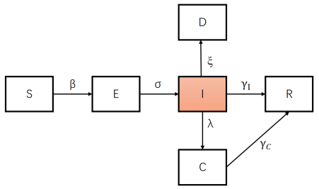
这项研究成果近日已成功发表在国际医学期刊 Journal of Thoracic Disease,题为《Real-time assessment of COVID-19 epidemic in Guangdong Province, China using mathematical models》。团队使用中国国家卫生健康委员会自2022年10月22日至11月30日报告的每日新冠肺炎感染人数,基于EpiEstim计算奥密克戎BA.5.2的传播率(89%),进一步考虑了传染期平均为5.2天,并增加了重症率(0.2%)和死亡率(0.036%)两个参数来构建SEIR-CD传播动力学的优化模型(图1)对2022年底实施优化疫情防控措施后的中国广东省新冠肺炎疫情进行探讨。为了满足合理调配医疗资源这个需求,本SEIR-CD模型在SEIR的基础上增加了重症人群(Critical,C)和病死人群(Death,D),配合符合当地实际的重症率和死亡率参数,使得模型具有统计重症或病死人数变化趋势的能力,大大提升了疫情预测的实用性。

图1. SEIR-CD传播动力学优化模型
研究结果表明(图2),广东省本轮疫情预计将在2022年12月21日至12月25日达到峰值,当天约有1498万人被感染。2022年12月24日至12月26日,累计感染人数将达到该省人口数量的70%左右。现有重症病例预计将在2023年1月1日至2023年5日左右达到峰值,在高峰时,重症病例数约为10.145万例。 图2. 广东省新冠疫情流行结果 广州本轮疫情(图3)预计将在2022年12月22日至2022年12日23日达到峰值,峰值新增感染人数约为245万人。从2022年12月24日至2022年25日,累计感染人数将约占该市常住人口总数的70%。现有重症病例数预计将在2023年1月4日至2023年1月6日左右达到峰值,峰值时的现有重症病例约为0.632万例。 图3. 广州市新冠疫情流行结果 在实施优化疫情防控措施后,SEIR-CD模型预测,至2022年12月25日,广东省的累计感染人数将达到该省人口的70%左右,而广州将于2022年12日23日达到该省总人口的70%。该结果较为符合广东省疾病预防控制中心的监测状况。 对2022年全球22个发达国家或地区新冠肺炎疫情的统计资料表明,得出这些国家或地区两次感染高峰之间的平均时间为149.35天(中位数:161天),第二次感染高峰的平均新增病例数为第一次高峰的48.61%(中位数:41.72%),这可能是由抗体的衰变效应所致。本团队推测,下一阶段会有一波小疫情,时间可能在2023年5-6月。 何建行教授、杨子峰教授、澳门科技大学韩子天副教授为共同通讯作者,曾志奇博士、曲伟博士、澳门科技大学刘瑞斌博士为这项研究的共同第一作者。3年以来,实验室团队与澳门科技大学双方在新冠肺炎疫情预测预警上陆续发表最新的研究成果,为我国疫情控制提供重要支撑。

















