JACI发表:中国咳嗽变异性哮喘表型全国多中心研究
2023-05-201479咳嗽变异性哮喘是以咳嗽为主要或唯一症状,具有气道高反应性的不典型哮喘。根据我国进行的全国多中心研究,国内约近三分之一的慢性咳嗽的病因为咳嗽变异性哮喘。在临床实践中发现,咳嗽变异性哮喘对抗哮喘治疗反应呈现异质性,部分患者反应良好,也有少部分患者治疗反应较差或容易复发。因此,对咳嗽变异性哮喘临床、气道炎症特征及预后的观察,探讨其临床表型,有助于咳嗽变异性哮喘的评估及治疗策略制定。

本研究纳入342例初诊咳嗽变异性哮喘,进行抗哮喘治疗并随访6个月,在各随访期评估咳嗽症状、肺功能及气道炎症等变化,并留取生物标本进行组学检测以挖掘潜在的机制。对发病年龄、病程、咳嗽视觉模拟评分、血嗜酸性粒细胞计数、呼出气一氧化氮(FeNO)、肺通气功能指标等10个重要的临床、病理生理参数进行聚类分析,发现咳嗽变异性哮喘可以分为3个表型:C1表型特征是女性为主、迟发、肺功能正常;C2表型特征为年轻、夜间咳嗽、特异质、具有高T2型炎症,有较高比例患者的咳嗽可以完全缓解(73.3%);C3表型特征则为长病程、较高比例哮喘家族史、轻度肺功能下降,咳嗽完全缓解比例较低。诱导痰转录组学分析发现C2表型患者具有高水平的T2型炎症共表达基因网络。而C1及C3表型患者除了T2型炎症共表达基因网络升高外,Th17免疫共表达基因网络亦上调。

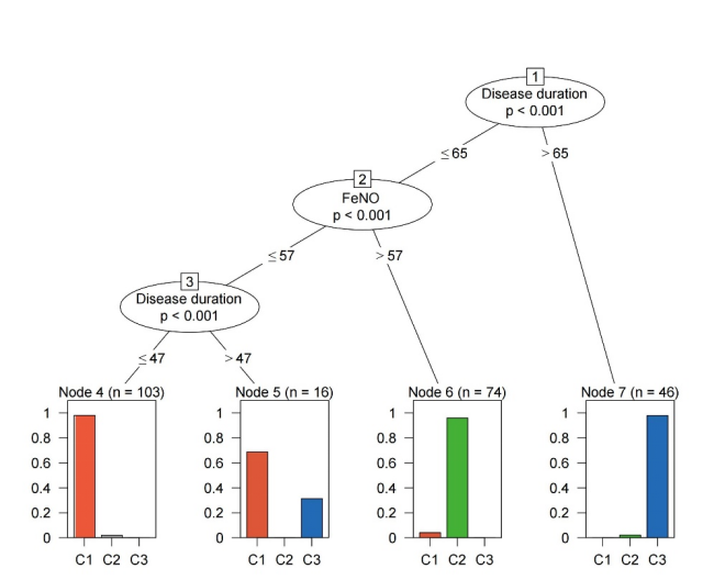
此外,研究采用临床基线数据进行条件决策树建模,发现采用病程及FeNO可以较好辨别这3个表型,有助在临床实践中简便分辨咳嗽变异性哮喘表型。

本研究结果表明咳嗽变异性哮喘不同的表型具有不同的临床特征、治疗反应及炎症免疫机制,有助于指导咳嗽变异性哮喘的个体化临床治疗。
















